21/10/2025
Tấm lòng của cán bộ, giáo viên, nhân viên, học sinh, phụ huynh trường THPT Đồng Xoài gửi đồng bào bị bão lũ
Trường
THPT Đồng Xoài: Ủng hộ gần 73 triệu đồng cho
người dân bị ảnh hưởng bão lũ
Mỗi năm, dải đất hình chữ “S” thân yêu
phải oằn mình trải qua nhiều đau thương, mất mát do thiên tai, bão lũ. Những
lúc ấy tình đồng bào lại sắt son hơn.
Mỗi tấm lòng trao đi, mỗi cánh tay
dang ra sẽ giúp cho mỗi hoàn cảnh khó khăn sau bão lũ có thêm động lực để phục
hồi, vươn lên ổn định cuộc sống. Phát
huy đạo lí “Thương người như thể thương thân”, với tinh thần đoàn kết trách nhiệm “Một cây làm chẳng nên non, ba cây chụm lại nên hòn núi
cao” như lời nhắn gửi yêu thương, khơi dậy tinh thần đoàn kết, sẻ chia ý thức, trách
nhiệm cộng đồng trong tập thể
cán bộ, giáo viên, nhân viên và học sinh nhà trường.
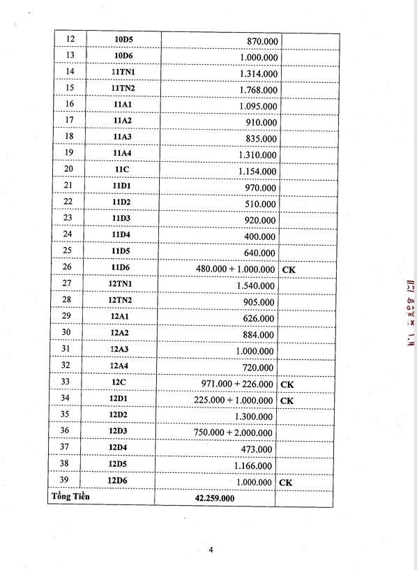
Sau 1 tuần phát động ủng hộ đồng bào
các tỉnh, thành phố chịu thiệt hại do bão lũ gây ra (Từ
ngày 13/10 đến 20/10/2025), Trường
THPT Đồng Xoài đã nhận được tổng số tiền 72.854.000 đồng từ tấm
lòng vàng của cán bộ, giáo viên, nhân viên, quý cha
mẹ học sinh và học sinh của
trường.
Với thông điệp chan chứa
nghĩa tình: “Dù khoảng cách có xa,
nhưng trái tim chúng ta vẫn chung nhịp đập - hướng về đồng bào vùng bão lũ với
tất cả yêu thương và niềm tin rằng nắng sẽ sớm lên sau cơn bão”, Trường THPT Đồng Xoài đã chuyển toàn bộ số tiền ủng
hộ về Ủy ban Mặt trân Tổ quốc
Việt Nam tỉnh Đồng Nai.
Ngọc Bích (Tổ lịch sử) - Trường THPT Đồng Xoài
